あなたもお好きかもしれません
Introduction:
Choosing the right humanized model for your study
The relative success of immuno-oncology drugs has directed research toward discovering novel targets and therapeutic agents. This has also resulted in heightened demands for the establishment and utilization of relevant, robust animal models for in vivo evaluation of novel preclinical drug candidates. With the shift toward multitargeted antibody-based therapeutics, humanization of important drug target genes, or in some cases, the entire immune system, are strategies that researchers rely on to test whether candidates may be of therapeutic value. Choosing an appropriate humanized model depends on the antigen, target cell type, mechanisms of action, and the modality of therapeutic to be tested. Here, we will provide a brief overview of the types of humanized models available, with a focus on human immune system-reconstituted mice.
Types of Humanized Models
Syngeneic mouse tumor models refers to a murine tumor cell line that can be implanted into immunocompetent mice. Biocytogen’s target humanized mice and/or tumor cell lines are genetically engineered to express human targets of interest in such a way that does not alter intracellular signaling or expression, and the genes remain under control of the respective mouse promoter. This system can be ideal for testing anti-tumor efficacy of antibodies that target human tumor antigens or immune system checkpoints that might not otherwise effectively recognize the murine target.
Although some humanized receptors can still recognize murine ligands or co-receptors, in some cases, it may be necessary to genetically humanize the entire signaling complex. Biocytogen’s humanized cytokine/cytokine receptor mice are often engineered to humanize complexes to ensure proper functionality.
Read more about Biocytogen’s syngeneic tumor models here.
While syngeneic tumor models allow for robust and reproducible efficacy studies, the species differences between human and mouse immune systems remains a significant caveat when interpreting the results. Common animal models, including mouse allograft tumor models, genetically engineered mice, human-derived cell line transplantation models, and human-derived tumor tissue transplantation models, cannot fully recapitulate the human immune system and tumor immune microenvironment, substantially constraining translational research of immune mechanisms and immunotherapy. Consequently, immune reconstitution mouse models that possess a "humanized" immune system have emerged as high-quality models in immuno-oncology research and development. These models are often referred to as “HIS models” (humanized immune system models).
Types of HIS models
Currently, there are three primary categories of mouse models with humanized immune systems. One approach involves reconstructing the human immune system by infusing mature human peripheral blood mononuclear cells (hPBMCs) into immunodeficient mice through either the abdominal cavity or tail vein, known as the hPBMC reconstitution model. Another type involves the injection of human CD34+ hematopoietic stem cells (HSCs) and their progenitors into immunodeficient mice through the abdominal cavity, tail vein, or temporal facial vein of newborns, which also results in the reconstruction of the human immune system, referred to as the HSC (CD34+) reconstitution model. The third type entails transplanting fetal thymus and fetal liver into irradiated severely immunodeficient mice under the renal envelope while simultaneously inoculating human CD34+ hematopoietic stem cells for immune reconstitution, commonly known as the BLT model. This article will focus on the use of Biocytogen’s hCD34+ HSC reconstitution model.

Three ways to humanize immunodeficient mice. Image created using BioRender, based on De La Rochere et al., 2018.
Hematopoietic stem cells (HSCs) possess a considerable capacity for self-renewal and diverse differentiation potential, and serve as the precursor to various immune cells. The differentiation of HSCs is reliant on the hematopoietic microenvironment of the bone marrow and thymus, which involves division and proliferation to maintain a relatively constant number, as well as partial proliferation and differentiation into directed progenitors exhibiting surface markers CD34+/CD38+, including lymphoid progenitor cells (CLP) and myeloid progenitor cells (CMP). The CLP further differentiates into T cells, B cells, and NK cells, while the CMP differentiates into monocytes/macrophages, neutrophils, eosinophils, basophils, mast cells, erythrocytes, and platelets. The development of HSCs into mature immune cells at each stage necessitates the involvement of multiple cytokines.

Lineage differentiation of hematopoietic stem cells. Image courtesy of BioRender.
Establishing a human immune reconstitution model requires a highly immunodeficient mouse recipient. Biocytogen’s severely immunodeficient B-NDG mice, which harbor similar mutations compared with other commercially available immunodeficient mice, completely lack mature T, B, and NK cells. B-NDG mice have been widely published, and are internationally recognized as a valuable tool for human cell or tissue transplantation due to their high degree of lymphoid cell deficiency. Humanization of B-NDG mice therefore involves transplanting human immune cells/ hematopoietic stem cells into B-NDG or B-NDG-derived mice to create immune system-reconstituted mice. Compared to syngeneic models with an intact murine immune system, this approach enables immunological research and evaluation of drugs in the context of a human immune system. The immune reconstitution mouse models can be used to investigate tumor growth in the tumor microenvironment and assess the interplay between tumor cells and immune cells. They are also useful for the study of blood diseases, basic hematopoiesis and immunology, human infectious disease models, as well as drug efficacy evaluation, including immunosuppressants, bispecific antibodies, and ADCC effector function.
Using B-NDG mice to establish HSC immune reconstitution models
Seeding 1.5×105 human CD34+ cells into irradiated B-NDG immunodeficient mice results in HSC differentiation into myeloid and lymphoid lineages, thus establishing the donor’s innate immune system and lymphocytes. Compared with PBMC reconstitution models, the CD34+ immune reconstitution model has a relatively later occurrence of graft-versus-host disease (GvHD) and a longer survival time due to the lower frequency of T cell differentiation.


The HSC (CD34+) reconstituted model can be used for several applications investigating the role of human immune cells in the context of immunotherapy. In this example, human CD34+ reconstituted B-NDG mice were intravenously injected with 5×105 Raji-Fluc cells. After 5 days, mice were injected (again i.v.) with human PD-1 antibody. After 2 days, the antibody had a significant inhibitory effect on tumor cell expansion, demonstrating that HSC (CD34+)-reconstituted B-NDG mice are valid models for CDX efficacy testing.

Furthermore, this mouse model can also be used for evaluating the efficacy of bispecific antibodies or immune checkpoint inhibitor (ICI) drugs in combination with other drugs, such as a combination of PD-L1 antibody and CD47 antibody. This experimental system not only confirms the efficacy of human ICI antibodies but also benefits from the use of human cell lines or PDX samples, which results in a humanized immune system tumor microenvironment.
However, this reconstitution method does have certain limitations. For instance, the differentiating cells are not exposed to human cytokines, which is somewhat limiting for terminal differentiation of certain lineages. As a solution, researchers have attempted to replace mouse cytokine genes by genetically inserting human cytokine genes. In particular, Biocytogen’s humanized cytokine mice are engineered to express human cytokines in situ, so as not to disrupt the regulation of gene expression in vivo.
HSC-B-NDG hIL15 mice: A robust model for human NK development and CAR-NK evaluation
IL15 (interleukin 15) is a pleiotropic cytokine that plays a key role in the development of NK cells, natural killer T Cells (NKT) and memory CD8+ T cells. Biocytogen developed a humanized IL-15 immunodeficient mouse model, B-NDG hIL15, by inserting the coding sequence of the human IL15 gene into the 5' UTR of the mouse IL15 gene. This modification allows the mice to express human IL15 but not mouse IL15. When human HSCs are transplanted into B-NDG hIL15 mice, whether adult or newborn, the reconstitution rate of human NK cells is significantly higher compared to B-NDG mice. This makes B-NDG hIL15 mice an excellent tool to study the development and function of human NK cells and evaluate the efficacy of antibodies that rely on NK cell function, particularly those with ADCC function.
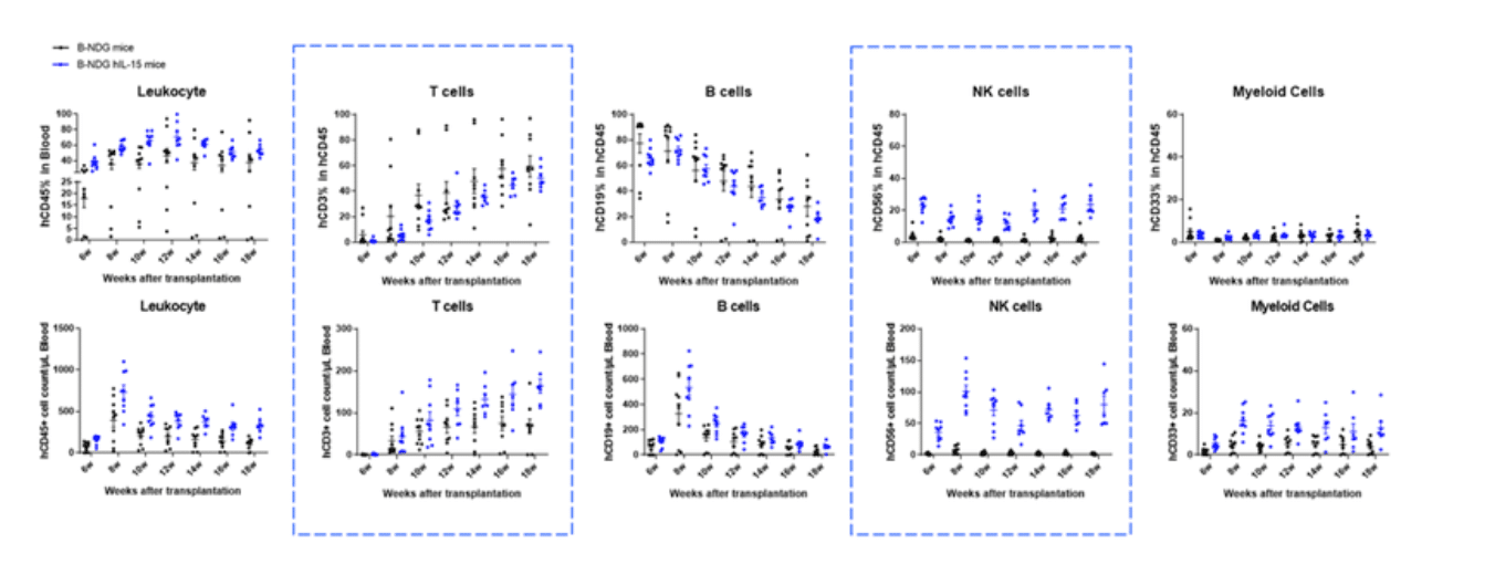
Transplantation of CD34+ HSCs into adult B-NDG hIL15 mice enhances human NK cell reconstitution

Female 6-week-old B-NDG mice (n=17) and B-NDG hIL15 mice (n=19) were exposed to 1.6 Gy irradiation. Human CD34+ HSCs (1.5E5) were injected through the tail vein. Peripheral blood sampling indicates that the proportion of reconstituted human NK cells in B-NDG hIL15 mice was significantly increased compared with B-NDG mice from 2 weeks to 14 weeks post-reconstitution.
Efficacy of anti-human CLDN18.2 antibody in huma nHSC-reconstituted adult B-NDG hIL15 mice with tumors

5-week-old B-NDG hIL15 mice were irradiated with 1.2 Gy and injected with human HSCs (1.5E5) through the tail vein, and subcutaneously injected 6 weeks later with CLDN18.2 overexpressing human lung cancer B-hCLDN18.2 A549 cells (1E7). Mice were subjected to intraperitoneal injection of anti-human CLDN18.2 antibody (zolbetuximab analog) as indicated. Peripheral blood was sampled weekly to detect the reconstitution level of human NK cells and T cells, and tumor tissue was taken at the end of the experiment to detect infiltrated human NK cells and T Cells. The results demonstrate that the anti-human CLDN18.2 antibody could effectively inhibit the growth of tumors, with a tumor suppression rate of 36.2% compared to mice treated with isotype. Human NK cells and T cells are both detected in peripheral blood and tumor tissue, but the frequency of human T cells is lower than human NK cells.
Use of neonatal mice for CD34+ HSC engraftment
For studies that require the multilineage engraftment of CD34s (rather than PBMC-derived T cell reconstitution), one feasible experimental approach is to engraft HSCs directly into the temporal facial vein of newborn mice. This design is lower cost, because fewer HSCs can be injected, and the engraftment can occur while the mice grow old enough for the experiment. It also involves a lower dose of radiation. The example below demonstrates good survival rates and weight gain of neonatal B-NDG and B-NDG hIL15 mice following engraftment.

Furthermore, relevant lymphoid and myeloid lineages are able to develop in both strains
following neonatal mouse transplantation with human CD34+ HSCs, as shown below.


Transplantation of human CD34+ HSCs in newborn B-NDG hIL15 mice reconstituted functional human NK cells
B-NDG mice (n=10) and B-NDG hIL15 mice (n=10) were injected with CD34+ HSCs (3E4, into the temporal vein) 24-48h after birth, following 0.9 Gy irradiation. Peripheral blood was taken at different time points to detect the reconstitution level of various types of human immune cells. The results demonstrate that the proportion of reconstituted human NK cells in B-NDG hIL15 mice was significantly increased compared with B-NDG mice.
Summary
In summary, by transplanting human tumor cell lines into human CD34+ immune-reconstituted mice, we can assess the responses of multiple human immune cell compartments, providing an optimal model for investigating human tumor-immune cell interactions and therapeutic testing.

A variety of tumor models have been evaluated using Biocytogen’s B-NDG and B-NDG hIL15 mice with immune system reconstitution, and we currently maintain a large supply of huHSC-B-NDG hIL15 mice. Browse our other engineered B-NDG mice here.
References & further reading:
[1] De La Rochere P, et al. Humanized Mice for the Study of Immuno-Oncology. Trends Immunol. 2018 Sep;39(9):748-763.
[2] Reya T, et al. Stem cells, cancer, and cancer stem cells. Nature. 2001 Nov 1;414(6859):105-11.
[3] Rongvaux A, et al. Development and function of human innate immune cells in a humanized mouse model. Nat Biotechnol. 2014 Apr;32(4):364-72.
[4] Fehniger, et al. Interleukin 15: biology and relevance to human disease. Blood 97, 14-32.